Kjeungskjær
Firmaet Aktiv på Askøy har produsert Kjeungskjær under namnet Sleipner. Det er nokre små skilnader på dei to. Aktiv fann at den var for ustabil for urøynde padlarar. Annan kritikk som er komen er at den har ein tendens til å daske i motsjø og at åreisettet vert i overkant breidt. Så vidt vi veit, er den enno ikkje brukt til det den er konstruert for, overnattingsturar med mykje last. Vi har auka stabiliteten litt ved å legge inn eit rett jamnbreidt strekk på midten. Før vi produserer nye modellar av Kjeungskjær vil vi vurdere om vi skal auke stabiliteten endå meir. Den neste produserte modellen vert truleg i stitch-and-glue.
Figuren nedanfor viser eit riss av midtplanet på langs av kajakken. Legg merke til den lange rette kjøllina som gjer kajakken retningsstabil, men også mindre manøvrerbar.
Figuren nedanfor viser dekkrisset. Lukeopningane er dimensjonerte etter luker frå KayakSport. Dersom ein ynskjer meir fleksibilitet i lukestorleik, kan våre eigne løysingar brukast.
Figuren nedanfor viser tverrsnitt med lik avstand. Til venstre framanfor midten til høgre aktanfor midten. Legg merke til at kajakken er konveks overalt, og til den markerte kjølvinkelen.
Tabellen nedanfor gjev dei sentrale måla:
| Lengd | 5.3 | Meter |
| Maksimal breidd | 54 | Cm |
| Maksimal breidd sitjerom | 34 | Cm |
| Høgd fremst i sitjerom | 35 | Cm |
| Volum av lasterom framme og bak | 341 | Liter |
Fihuren nedanfor viser ein 3D-modell av kajakken.

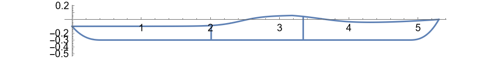
Figuren nedanfor viser stabiliteten til den stripebygde Kjeungskjær, rekna som opprettingsmoment som funksjon av kantingsvinkel. Denne kan vere nyttig å samanlikne med andre kajakkar, om data skulle finnast.
Figuren nedanfor viser den midterste seksjonen ved maksimal kanting, stripebygd versjon. Vi ser at sluttstabiliteten kunne forbetrast ved å gjere kajakken høgare.
Figuren nedanfor viser motstandskurver for stripebygd Kjeungskjær.
Biletet nedanfor viser bølgemønsteret for Kjeungskjær for ein fart på 5.56 km/t (oppe) og 9.26 km/t (nede), og ei last på 0 kg (til venstre) og 50 kg (til høgre). Padlarens vekt er 79 kg.
Padlarar på veg mot Kjeungskjær.
Kristin Hammeraas padlar den første Kjeungskjær som kom på vatnet, bygd av Birger Hammeraas.